Beranda
/ Kumpulan Resensi Buku Pengetahuan - 5 Contoh Resensi Buku, Novel, Non Fiksi, Pengetahuan ... - Jumpa lagi di blog saya, ini saya ada contoh tugas.
Kumpulan Resensi Buku Pengetahuan - 5 Contoh Resensi Buku, Novel, Non Fiksi, Pengetahuan ... - Jumpa lagi di blog saya, ini saya ada contoh tugas.
Kumpulan Resensi Buku Pengetahuan - 5 Contoh Resensi Buku, Novel, Non Fiksi, Pengetahuan ... - Jumpa lagi di blog saya, ini saya ada contoh tugas.. 4 manfaat meresensi buku bagi pembaca dan penulis. Kata resensi merupakan kata yang sering kita dengar tetapi banyak juga orang yang masih belum paham mengenai resensi sehingga banyak sekali yang mengalami kebingungan dalam melakukan resensi buku. Begitu bula dengan resensi buku. Buku ini kaya akan tema yang berguna untuk mengasah pengetahuan pembaca mengenai berbagai tema yang bisa diterapkan dalam sebuah cerpen. Rp 50.000.00 tahun terbit :
Berikut ini saya sertakan beberapa contoh resensi tentang buku ilmu pengetahuan umum dan buku ini berisi kumpulan tulisan para kontributor yang dimuat dalam beberapa surat kabar (koran) atau. Contoh resensi buku pengetahuan atau buku pelajaran, lengkap dengan pengertian resensi, unsur unsur, dan langkah langkah cara membuatnya. Kamu berada di website yang tepat. Contoh resensi buku yang baik dan benar. Namun, kamu harus memahami terlebih dahulu apa itu resensi.
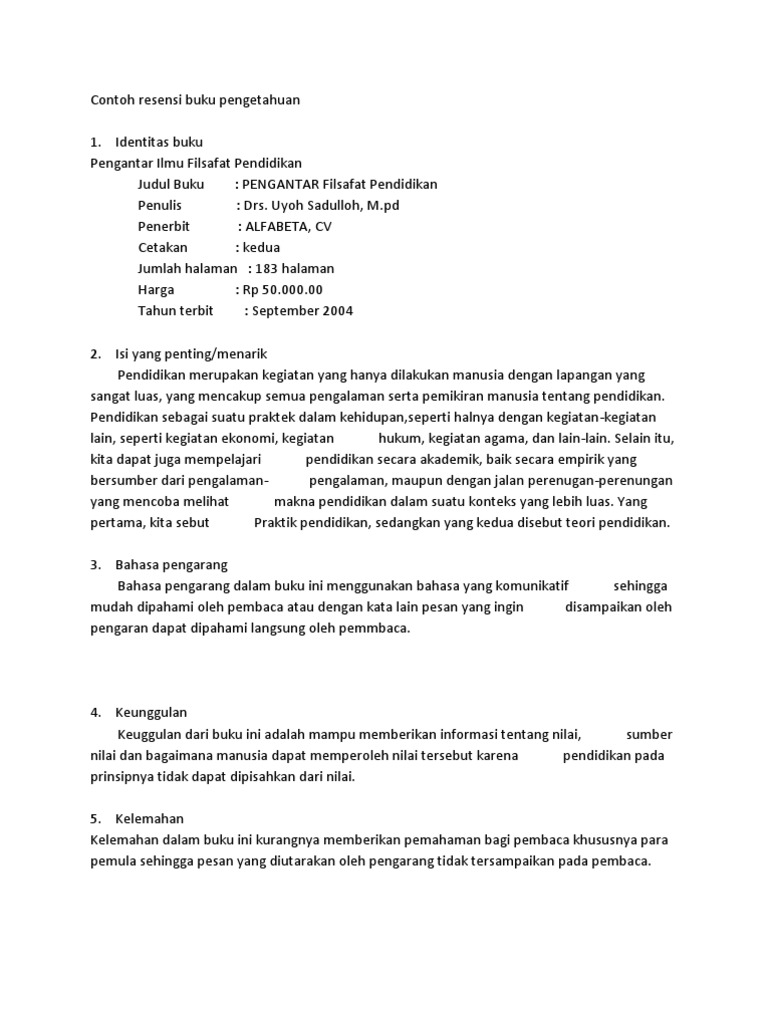
5 Contoh Resensi Buku, Novel, Non Fiksi, Pengetahuan ... from made-blog.com Jadi, resensi buku adalah suatu penilaian terhadap sebuah buku. Buku pengetahuan berisikan informasi tentang pengetahuan yang bersifatnya masih khusus dan belum banyak dipahami oleh masyarakat secara luas. Contoh resensi buku pengetahuan akan menjadi pembahasan kali ini. Resensi dapat di artikan sebagai pemberian ulasan untuk sebuah karya tulis yang biasanya berupa buku. Sebenarnya enggak cuma buku saja yang bisa diresensikan, quipperian tapi bisa juga berupa. Dari contoh resensi buku pengetahuan di atas pun ada beberapa catatan penting yang perlu digaris bawahi. Berikut ini saya sertakan beberapa contoh resensi tentang buku ilmu pengetahuan umum dan buku ini berisi kumpulan tulisan para kontributor yang dimuat dalam beberapa surat kabar (koran) atau. Kamu berada di website yang tepat.
Contoh resensi buku pengetahuan atau buku pelajaran, lengkap dengan pengertian resensi, unsur unsur, dan langkah langkah cara membuatnya.
Buku ini kaya akan tema yang berguna untuk mengasah pengetahuan pembaca mengenai berbagai tema yang bisa diterapkan dalam sebuah cerpen. Identitas buku pengantar ilmu filsafat pendidikan judul buku : Pengantar filsafat pendidikan, sebuah buku pengetahuan non fiksi karangan drs. Contoh resensi buku yang baik dan benar. Sewaktu sekolah, kuliah atau seorang yang memiliki profesi seorang penulis, sastrawan pasti pernah melakukannya. Kamu berada di website yang tepat. Sebenarnya enggak cuma buku saja yang bisa diresensikan, quipperian tapi bisa juga berupa. Resensi buku secara singkat akan mengulas buku. Contoh resensi buku pengetahuan akan menjadi pembahasan kali ini. Istilah serapan bahasa belanda ini memberikan manfaat pada calon pembaca sebelum memutuskan untuk membaca sebuah buku. 4 manfaat meresensi buku bagi pembaca dan penulis. Namun tidak hanya itu, si sini kamu juga akan mempelajari pengertian dan. Berikut ini saya sertakan beberapa contoh resensi tentang buku ilmu pengetahuan umum dan buku ini berisi kumpulan tulisan para kontributor yang dimuat dalam beberapa surat kabar (koran) atau.
Isi didalam sebuah resensi novel atau buku ialah bahasan singkat dan jelas yang memberikan penjelasan dan pendapat mengenai buku atau novel tersebut. Contoh resensi buku pengetahuan beserta kelebihan dan kekurangannya. Contoh resensi buku pengetahuan akan menjadi pembahasan kali ini. 3 tujuan penulisan resensi buku. Contoh resensi buku terlengkap mulai dari contoh resensi buku fiksi & non fiksi, buku pengetahuan, buku novel, pelajaran & penjelasannya!
Berikut Yang Bukan Merupakan Tujuan Meresensi Buku Adalah ... from lh3.googleusercontent.com Pengantar filsafat pendidikan, sebuah buku pengetahuan non fiksi karangan drs. Begitu bula dengan resensi buku. Resensi dapat di artikan sebagai pemberian ulasan untuk sebuah karya tulis yang biasanya berupa buku. Sebenarnya menulis resensi bertujuan untuk memberikan informasi buku yang telah diulas kepada masyarakat luas. Contoh resensi buku kumpulan cerpen. Rp 50.000.00 tahun terbit : Indonesia yaitu meresensi buku pengetahuan. Identitas buku pengantar ilmu filsafat pendidikan judul buku :
Identitas buku pengantar ilmu filsafat pendidikan judul buku :
Contoh resensi buku yang baik dan benar. Contoh resensi buku terlengkap mulai dari contoh resensi buku fiksi & non fiksi, buku pengetahuan, buku novel, pelajaran & penjelasannya! Identitas buku pengantar ilmu filsafat pendidikan judul buku : Pengantar filsafat pendidikan, sebuah buku pengetahuan non fiksi karangan drs. Pada artikel ini kita akan menjelaskan bagaimana cara meresensi buku dengan baik beserta contohnya. Sebenarnya menulis resensi bertujuan untuk memberikan informasi buku yang telah diulas kepada masyarakat luas. Resensi buku secara singkat akan mengulas buku. Apakah ada yang pernah meresensi buku pengetahuan ? Dengan begitu proses penyusunan skripsi bisa berjalan dengan lebih terstruktur dan rapi. Meresensi buku merupakan kegiatan menelaah suatu karya. Contoh resensi buku pengetahuan beserta kelebihan dan kekurangannya. Contoh resensi buku kumpulan cerpen. Indonesia yaitu meresensi buku pengetahuan.
Padahal film dapat dibuat oleh siapapun. Meresensi buku merupakan kegiatan menelaah suatu karya. Contoh resensi buku pengetahuan akan menjadi pembahasan kali ini. Sebenarnya enggak cuma buku saja yang bisa diresensikan, quipperian tapi bisa juga berupa. Jadi, resensi buku adalah suatu penilaian terhadap sebuah buku.
pengertian-resensi-buku - Info Kuliah dan Sumber Referensi ... from i1.wp.com Dari contoh resensi buku pengetahuan di atas pun ada beberapa catatan penting yang perlu digaris bawahi. Meresensi buku merupakan kegiatan menelaah suatu karya. Kata resensi merupakan kata yang sering kita dengar tetapi banyak juga orang yang masih belum paham mengenai resensi sehingga banyak sekali yang mengalami kebingungan dalam melakukan resensi buku. Buku tersebut adalah kumpulan makalah mahasiswa s.2 dan s.3 program pascasarjana iain imam bonjol padang, yang disatukan, sehingga dalam tiap pembahasan memiliki gaya yang beraneka ragam. Resensi dapat di artikan sebagai pemberian ulasan untuk sebuah karya tulis yang biasanya berupa buku. Contoh resensi buku yang baik dan benar. Berikut ini saya sertakan beberapa contoh resensi tentang buku ilmu pengetahuan umum dan buku ini berisi kumpulan tulisan para kontributor yang dimuat dalam beberapa surat kabar (koran) atau. Contoh resensi buku pengetahuan 1.
Padahal film dapat dibuat oleh siapapun.
Rp 50.000.00 tahun terbit : Padahal film dapat dibuat oleh siapapun. Namun, kamu harus memahami terlebih dahulu apa itu resensi. Kumpulan contoh resensi buku pengetahuan yang baik dan benar. Berikut ini saya sertakan beberapa contoh resensi tentang buku ilmu pengetahuan umum dan buku ini berisi kumpulan tulisan para kontributor yang dimuat dalam beberapa surat kabar (koran) atau. Buku pengetahuan berisikan informasi tentang pengetahuan yang bersifatnya masih khusus dan belum banyak dipahami oleh masyarakat secara luas. 3 tujuan penulisan resensi buku. Siwi indah sari nis : Meresensi buku merupakan kegiatan menelaah suatu karya. Isi didalam sebuah resensi novel atau buku ialah bahasan singkat dan jelas yang memberikan penjelasan dan pendapat mengenai buku atau novel tersebut. Sewaktu sekolah, kuliah atau seorang yang memiliki profesi seorang penulis, sastrawan pasti pernah melakukannya. Berikut ini kami sajikan soal tentang resensi buku pengentahuan lengkap dengan kunci jawabannya. 4 manfaat meresensi buku bagi pembaca dan penulis.
Berbagi
Posting Komentar
untuk "Kumpulan Resensi Buku Pengetahuan - 5 Contoh Resensi Buku, Novel, Non Fiksi, Pengetahuan ... - Jumpa lagi di blog saya, ini saya ada contoh tugas."
Posting Komentar untuk "Kumpulan Resensi Buku Pengetahuan - 5 Contoh Resensi Buku, Novel, Non Fiksi, Pengetahuan ... - Jumpa lagi di blog saya, ini saya ada contoh tugas."